贷款

  • 贷款

  • 信用卡

搜索

卡农金超

评论
您现在的位置:首页 > 口子资讯 > CFA二级官方教材中文精译:固定收益(1)收益率曲线与远期曲线

CFA二级官方教材中文精译:固定收益(1)收益率曲线与远期曲线

2019-09-09     点击:1346

[db:简介]


CFA原版教材内容详实、丰富,对于中国区考生来讲,阅读原版教材会花掉很多时间。但是,并不是教材中所有内容都是考点,一些内容可以简单一扫而过。为了帮助考生们节约复习时间、更快地了解考试内容,我们根据原版教材制作了中文精读内容:中文内容基本全部按照英文内容翻译制作。


本节将描述几个关于远期价格和即期收益率曲线之间关系的重要结论。

第一个观察结果是,只要未来的即期利率像今天的远期曲线所预测的那样发展,远期合约价格就将保持不变。因此,远期价格的变化反映了即期曲线与预测的远期曲线之间的偏离。因此,如果交易员预期未来的即期利率将低于当前预测的远期利率,那么远期合约的价值将增加。为了把这种预期转换为资本收益,交易者会购买远期合约。相反,如果交易员预期未来的即期利率高于当前预测的远期利率,那么远期合约价值将会下降。在这种情况下,交易员会卖出远期合约。

利用公式2定义的远期定价模型,我们可以通过公式7 确定T*时刻开始的T年期债券的远期合约价格, F(T*,T):

公式7

CFA二级官方教材中文精译:固定收益(1)收益率曲线与远期曲线


现在假设经过时间t之后,新的即期利率函数与以当前即期利率所求出的远期利率函数相同,如式8所示。

公式8

CFA二级官方教材中文精译:固定收益(1)收益率曲线与远期曲线


其次,经过一段时间t后,合同到期的时间为T* - t,t时刻的远期合约价格为F*(t,T*, t)。公式7可改写为公式9:

公式9

CFA二级官方教材中文精译:固定收益(1)收益率曲线与远期曲线


将公式8代入公式9,得到公式10:

公式10

CFA二级官方教材中文精译:固定收益(1)收益率曲线与远期曲线


由公式10可知,只要未来的即期利率等于预测的远期利率,远期合约的价格就保持不变。因此,远期价格的变化是即期曲线偏离预测的远期曲线所导致的。

为了使这些观察更具体,我们考虑一个利率为4%的平坦的收益率曲线。通过公式1,我们计算1年期,2年期和3年期的折现因子为(保留小数点后四位):

CFA二级官方教材中文精译:固定收益(1)收益率曲线与远期曲线


因此,使用公式7,在第2年开始的1年期债券的远期合约价格为

 

CFA二级官方教材中文精译:固定收益(1)收益率曲线与远期曲线


假设第1年的远期函数与第0年即期曲线构造的远期折现函数相同。时间间隔是t = 1。根据公式8,从今天起1年和2年的折现因子为

根据公式9,一年后的远期合约价格为

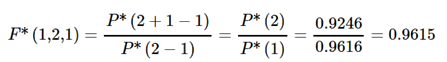
CFA二级官方教材中文精译:固定收益(1)收益率曲线与远期曲线


远期合约的价格没有变化。只要远期贴现函数与当前即期曲线构造的远期折现函数相同,就会出现这种情况。

从这个例子中,我们可以看到,如果即期利率曲线不变,那么每个债券都会沿着曲线“向下滚动”,赚取远期利率。具体来说,当1年过去时,3年期债券的收益率(0.9246- 0.8890)/0.8890 = 4%,等于即期利率。此外,如果再过1年,该债券的收益率(0.9615- 0.9246)/0.9246 = 4%,这等于从今天起1年后开始、期限1年的债券的隐含远期利率


分享到:

相关推荐

相关问答

用户评论

已有人参与,点击查看更多精彩评论

热门推荐 企业贷个人贷款计算器

更多>热卡申请

更多>极速贷款